Toggle navigation
HENAUOJ
常见问答
讨论版
题目列表
来源/分类
状态
排名
竞赛
作业
Login
OJ现已增加邮箱找回密码功能,还没有绑定邮箱的同学们请抓紧时间,以免密码丢失无法找回
问题1025--函数求值
1025: 函数求值
时间限制:
1 Sec
内存限制:
128 MB
提交:
2767
解决:
1877
[
提交
] [
状态
] [
讨论版
] [命题人:
]
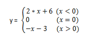
题目描述
根据函数,给你x请你输出对应的y。
输入
一个整数x,-1000<=x<=1000。
输出
输出对应的y。
样例输入
Copy
7
样例输出
Copy
-10
来源/分类
选择结构