Toggle navigation
HENAUOJ
常见问答
讨论版
题目列表
来源/分类
状态
排名
竞赛
作业
Login
OJ现已增加邮箱找回密码功能,还没有绑定邮箱的同学们请抓紧时间,以免密码丢失无法找回
问题1179--购物狂欢节
1179: 购物狂欢节
时间限制:
1 Sec
内存限制:
32 MB
提交:
276
解决:
42
[
提交
] [
状态
] [
讨论版
] [命题人:
]
题目描述
还有一周就到双11了,相信大家都已经为当天的买买买做好了充分的准备。
X星球也在这个时候也有着购物减免的活动,而且比某宝的更加给力
(奇葩)
。
这一天小x需要购买n种物品,每种物品的单价也对应为1到n,且每种购买k个。
每种物品的减免有着这样的规则,对于价格为i的物品,购买k个则总价
w
为i
k
,如果w达到或超过p则进行减免w = w - p直到不能继续减免为止。
现在请你帮他计算这一天他需要花多少钱来买n个物品且每种买k个。
(不要问为什么都这样减免了他还不多买点)
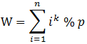
形式上求
输入
一行三个非负整数n,k,p。(n <= 1e3 k, p <= 1e9+7
)
多组数据输入接收到文件尾结束,至多不超过10组。
输出
一个非负整数W。
样例输入
Copy
2 2 3 5 2 1000000007
样例输出
Copy
2 55
提示
注意结果会超过32位整形的表示范围。
来源/分类
数论