OJ现已增加邮箱找回密码功能,还没有绑定邮箱的同学们请抓紧时间,以免密码丢失无法找回


问题1356--树的左视图

1356: 树的左视图

时间限制: 1 Sec  内存限制: 128 MB
提交: 20  解决: 8
[提交] [状态] [讨论版] [命题人:]

题目描述

现在给出你一棵树,并且根是1,请问你能找到这棵树的字典序最小的左视图吗?

本题的左视图定义为从左边观察树,自上而下的节点。

 

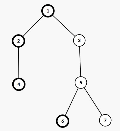
样例解释:当1为根时,如图的树,其左视图的字典序是最小的。



输入

第一行输入一个正整数n表示树的节点数目,(1 ≤ n ≤ 100000)
接下来n-1,每行两个正整数用空格隔开表示树上的边。


输出

输出以1为根的这棵树的字典序最小的左视图,每两个数字之间用空格隔开。

样例输入 Copy

7
1 2
1 3
2 4
3 5
5 6
5 7

样例输出 Copy

1 2 4 6

来源/分类